
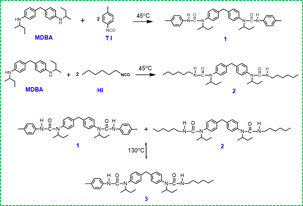
基于动态共价键的可适性交联网络可以赋予交联高分子可再加工、可愈合和可再生等宝贵性能,但是,动态共价键的不稳定性又不可避免地牺牲高分子材料的热稳定性和机械性能。因此,开发具有优异的热性能和机械性能的的动态交联高分子具有重要的学术价值和应用前景。近期,西安交通大学化学学院功能高分子研究组(RGFP)报道了一类具有共轭和位阻双重效应的动态脲键(CHUB),该种动态脲键采用烟台万华工业化生产的4,4’-二仲丁氨基二苯甲烷(MDBA)与芳香族异氰酸酯反应形成(图1)。与仅基于位阻效应的动态脲键相比,虽然具有较低键能的CHUB容易解离,但是,更多的芳香性分子骨架却赋予这种动态共价交联网络相当高的稳定性,从而使材料表现出较高的玻璃化转变温度、较高的力学性能以及高温下较快的应力松弛(图2)。

图1. 共轭-位阻脲键(CHUB)的形成以及交换反应

图2. 基于CHUB的两类动态交联聚脲的构建及其动态模量变化(a,d)、固相解离(b, e)和应力松弛行为(c, f)。a-c:MDBA与THDI形成的聚脲;d-f:MDBA与TTDI形成的聚脲。
得益于骨架结构的可调性,利用CHUB能够构建出多种多样分子结构的动态交联网络。一种典型的构建策略为,利用MDBA与环氧基团之间的反应合成环氧树脂骨架的动态交联聚脲(图3),通过调节交联点之间的分子结构,能够有效地调控材料的Tg、拓扑转变温度(TV)和力学性能(图4),为丰富动态交联高分子的结构与性能关系研究提供了重要参考。

图3. 基于CHUB的三种不同结构的交联网络

图4. 三类动态交联体系的Tg、Tv、应力松弛和力学性能调控。
通过调节动态交联网络中CHUB基交联点的含量,合成了基于动态共价键和传统共价键协同交联的高分子,在保留动态共价交联高分子材料良好可加工性的同时,显著提高了材料的抗蠕变性能(图5)。

图5. 构建CHUB和传统共价键协同交联的体系,显著提高了材料的热稳定性(b)和抗蠕变性能(d,e),还具有良好的重复加工性(f)。
该论文的第一作者为李瑜副教授,通讯作者为井新利教授,是RGFP近年来在动态交联高分子领域的新研究成果。最近几年,RGFP先后报道了动态硼酸酯键交联的可再生酚醛树脂及其复合材料(J. Mater. Chem. A, 2018, 6: 10868),含有稳定硼-氮配位结构的硼酸酯基动态交联高分子(JACS,2020, 142, 21852),动态氨基甲酸酯键交联的可修复酚醛树脂(Polymer, 2021, 229: 124022)以及动态硼酸酯键和传统共价键协同交联的可修复、耐烧蚀酚醛树脂(Chem. Eng. J., 2021, 191, 109672)。
原文链接:https://pubs.acs.org/doi/10.1021/acs.macromol.2c00681