作为一类重要的功能高分子材料,芳杂环聚合物因其优异的机械性能、突出的热稳定性和化学稳定性,以及独特的电子和光物理性能等备受关注。然而,传统的多环稠合的芳杂环聚合物其合成方法通常需要使用有限且昂贵的芳香稠(杂)环底物,需要涉及较为繁琐复杂的单体预官能化过程,原子经济性较低,并且往往需要较为严苛的聚合反应条件。这些合成困难极大地限制了此类聚合物的结构多样性和性能研究。相比之下,基于C-H活化的炔烃环化聚合反应应具有原料简单易得、原子经济性高、反应条件温和、反应高效等优势,可以再聚合物骨架中原位生成具有多种功能性取代基团的新颖/复杂的稠杂环结构。
近年来,唐本忠院士团队一直致力于新型C-H活化的炔烃环化聚合反应的开发和研究工作。在前期的研究工作中曾发展了一系列该类型的双组分和多组分聚合反应,制备出多种功能型稠杂环聚合物(Nat. Commun. 2019, 10, 5483; J. Am. Chem. Soc. 2019, 141, 11259; Angew. Chem. Int. Ed. 2021, 60, 19222; Polym. Chem. 2019, 10, 5296; Polym. Chem. 2016, 7, 330; Polym. Chem. 2016, 7, 5436; Polym. Chem. 2016, 7, 2501; Macromolecules 2015, 48, 4241; ACS Appl. Polym. Mater. 2022, 4, 3120)。
近日,唐本忠院士团队深圳大学AIE研究中心韩婷助理教授与王东教授进一步报道了一种简单、直接、高效的级联C-H活化/环化聚合策略,可以从简单易得的芳基咪唑单体原位生成具有多环稠合结构的新型氮杂芳环聚合物,并细致探究了此类聚合物在细胞内pH检测和癌细胞杀伤方面的应用潜力。相关工作以Cascade C-H-Activated Polyannulations toward Ring-Fused Heteroaromatic Polymers for Intracellular pH Mapping and Cancer Cell Killing为题,发表在Journal of the American Chemical Society上。
文章要点主要包括:
(1)C-H活化被誉为有机化学的“圣杯”,在有机合成化学领域取得了里程碑式的成就,同时为高分子化学的发展带来了重大变革。该工作将有机合成化学中的C-H活化/环化级联反应在引入到多环稠合的芳杂环聚合物的合成当中,成功开发了一种简单高效的级联C-H活化/环化聚合方法,能够以原子经济的方式、通过廉价易得的单体单体快速获得一系列结构新颖、复杂的新型聚苯并咪唑衍生物(图1)。
图1 基于铑(III)催化的N-芳基取代的咪唑和内二炔的级联C-H活化/环化聚合反应构建含氮芳杂环聚合物
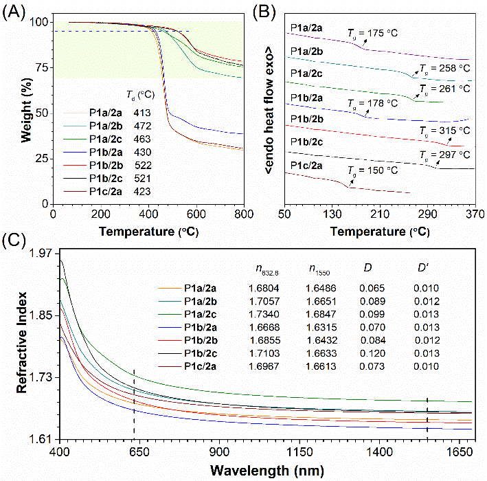
(2)所获得的新型含氮芳杂族聚合物具有优异的热稳定性和形貌稳定性、良好的溶解性、高折射率和低色散性能,,使其有潜力作为新型耐高温光学涂层用于先进光学器件的制备当中。在失重5% (Td)时,这些聚合物的热分解温度值可达到最高可达522 ℃ ,并且在高达800℃时依然可以保持70%以上的含碳量,玻璃化转变温度最高可达315℃(图2)。

图2 所得芳杂环聚合物的热性质和折光性质
(3)传统的稠杂环聚合物往往存在聚集态发光性能差的问题,在很大程度上限制了荧光功能型稠杂环聚合物的实际应用范围。在此工作中获得的所有聚合物在溶液态和聚合态均表现出双态强荧光,并且材料的光致发光特性可以通过后修饰反应或酸碱条件下的质子化-去质子化过程进行便捷的调控(图3和图4)。利用聚合物聚集体对pH的比率型荧光响应,作者成功地将其中含有三苯胺结构的共轭聚合物应用于活细胞内pH的荧光检测和定量分析中(图5)。
图3 模型化合物和聚合物的后修饰过程和其后修饰化前后的荧光性质。

图4 聚合物的酸碱响应型荧光性质及相关理论模拟计算。
图5 聚合物在细胞内比率型荧光传感器中的应用
(4)所获得的芳杂环聚合物可以通过简单的N-甲基化反应被转化为多种新型荧光共轭聚电解质。这些聚电解质能够通过暗毒性和光毒性的协同作用对癌细胞进行高效杀伤,该性质进一步扩展了稠杂环聚合物在光动力癌症治疗中的应用范围(图6)。

图6 聚电解质对癌细胞的杀伤作用
综上所述,该工作所报道的简便、高效的级联C-H活化/环化聚合策略可以为高分子合成化学带来新的灵感,所获得的新型聚苯并咪唑衍生物具有一系列优异的性能,其中涉及到的结构设计和构-效关系研究有利于促进结构更加多样、功能更为先进的多功能稠杂环高分子材料的设计、改性和应用研究。
以上成果近期发表在Journal of the American Chemical Society上,文章第一作者为深圳大学王康博士和燕赛赛博士,唐本忠院士(现为香港中文大学(深圳)理工学院院长)、深圳大学AIE研究中心韩婷助理教授和王东教授为本文共同通讯作者。该工作得到了国家自然科学基金委、深圳市科技创新计划以及广东省杰出青年基金的资助。
原文链接 https://doi.org/10.1021/jacs.2c04032