在环境友好和可持续的条件下制备具有可控尺寸、形态和成分的合金纳米颗粒对于它们的多功能应用具有重要意义。人们一直尝试采用无毒生物还原剂,以及更快速有效的方法来合成单分散、小粒径的金属纳米颗粒。其中,壳聚糖已被用于金属纳米颗粒的制备,但有必要进一步提高其控制纳米颗粒生长过程的有效性。为此,通过仿生设计、人工合成了一类树形大分子改性的壳聚糖,基于其构筑了仿生受限微环境,以实现金属纳米颗粒的有效制备。此外,聚合物的树形拓扑结构有利于通过多位点效应和协同作用来促进体系对金属离子的络合过程,最终有助于提高所涉及反应过程的可控性。
近日,上海大学仿生与智能高分子国际联合实验室李文/张阿方教授团队设计制备了一类新型的树枝化壳聚糖基微反应器,并探索了可见光辐照条件下,其在金属纳米颗粒快速制备方面的应用。相关成果以“Dendronized Chitosans Mediated Fabrication of Au@AgNPs with Visible Light Trigger”为题,发表在《ACS Sustainable Chemistry & Engineering》期刊上 (DOI: 10.1021/acssuschemeng.2c00615)。上海大学博士生姚欥为论文第一作者。此研究工作得到了国家自然科学基金、上海市东方学者和浦江人才等项目的资助支持。
在这项工作中,作者采用低聚乙二醇(OEG)基树枝化基元修饰壳聚糖,得到了一种兼具壳聚糖的水溶性和生物相容性,以及树枝化基元的温度响应性和多价结构的树枝化壳聚糖(DCS)。源于壳聚糖主链与金属离子(AuCl4–)之间的络合作用,使得两者形成了稳定的复合物,并构筑了相应的树枝化壳聚糖微反应器。可见光照射的条件下,以DCS作为模板分子,络合的金属离子可被快速原位转化为小尺寸(< 10 nm)、粒径均匀、具备不同组成比的纳米颗粒,而无需外加任何还原剂。进一步,树枝化壳聚糖热诱导聚集过程中增强了体系的疏水性,调节了树枝化壳聚糖对金属离子的还原活性。此外,这些金属纳米颗粒可通过包埋在树枝化壳聚糖中形成纳米复合物的方式获得良好的水溶性和高稳定性,并展现出优异的光热和催化性能。

图1、树枝化壳聚糖(DCS)介导、可见光触发的合金纳米颗粒的制备过程示意图:金属离子首先与DCS络合。随后,络合的金属离子在可见光照射下原位形成Au@AgNPs。

图2、树枝化壳聚糖DCS介导金属离子还原为金/银合金纳米颗粒(Au@AgNPs):DCS基质中Au@AgNPs的(A)UV/vis光谱(插图:其水溶液的照片)和(B)TEM图像。(C)避光条件下储存不同时间后,来自纳米复合物中Au@AgNPs的特征UV/vis光谱。(D)DCS,(E)DCS/precursors 和(F)DCS/Au@AgNPs的AFM图像(插图:放大区域和粒径分布)。

图3、DCS介导金属离子还原为Au@AgNPs的动力学:在25 °C,每隔1分钟用可见光照射后(A)纳米复合物中Au@AgNPs的特征UV/vis光谱和(B)不同组成比的Au@AgNPs在550 nm处最大吸光度。(C)在不同温度条件下,不同投料比的Au@AgNPs其形成速率ks。(D)在50 °C,每隔1分钟用可见光照射后,纳米复合物中Au@AgNPs的特征UV/vis光谱。

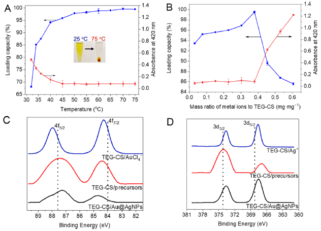
图4、DCS介导金属离子还原为Au@AgNPs的机理:DCS在(A)不同温度对同浓度AuCl4?和(B)75 °C时对不同浓度AuCl4?的负载率及对应上清液在420 nm处的吸光度。来自DCS/AuCl4?、DCS/Ag+、DCS/precursors以及DCS/Au@AgNPs中(C)Au 4f和(D)Ag 3d轨道的X射线光电子光谱。

图5、树枝化壳聚糖合金纳米颗粒复合物的催化及光热性能:(A)不同时间间隔时,使用DCS/Au@AgNPs作为催化剂的条件下,4-NP溶液的UV/vis吸收光谱。(B)不同组成比的Au@AgNPs作为催化剂时,对4-NP的还原反应速率常数ks。(C)在激光连续照射的条件下,每隔1分钟记录包含Au@AgNPs样品的溶液其温度。
原文链接:https://pubs.acs.org/doi/10.1021/acssuschemeng.2c00615