高分子材料的立体化学结构对宏观性能至关重要,分子链上取代基的空间排布差异会导致其结晶行为、热力学性质及力学性能的显著变化。硅橡胶凭借聚硅氧烷(-Si-O-)主链的独特结构,兼具优异的热稳定性与耐候性,是一类广泛应用的特种高分子材料。依据取代基的对称性,聚硅氧烷可分为对称取代型与非对称取代型。对称取代型如聚二甲基硅氧烷(PDMS)规整性较高,其结构-性能关系较明确;而非对称取代型聚硅氧烷,由于链转移反应和开环聚合的随机性,易在聚合过程中产生构型随机分布,其立体结构与性能关系难以明晰,严重制约了高性能硅橡胶的分子设计与性能突破。
聚甲基三氟丙基硅氧烷(PMTFPS)是典型的非对称取代型聚硅氧烷,兼具优异的耐油性、耐溶剂性及宽温域热稳定性,在航空航天、汽车及高端电子材料领域应用广泛。然而,其立体化学序列对结晶行为、微观网络形成及力学性能的影响和调控机理仍缺乏系统研究。这不仅阻碍了氟硅橡胶高性能化的发展,也限制了其在极端环境下的应用潜力。因此,揭示 PMTFPS 的立体化学结构-性能关系,对指导高性能氟硅橡胶分子设计具有重要的科学价值和应用意义。
针对上述问题,山东大学周传健教授研究团队利用19F NMR的高灵敏度、宽化学位移范围和非干扰性等优点,首次实现了对不同cis-D3F / trans-D3F 比例制备的 PMTFPS四元组立体化学构型的直接定量表征,并建立了单体比例与 PMTFPS 立体规整性之间的关系。研究表明,当 cis-D3F 含量超过 58% 时,PMTFPS呈现高等规结构。

图1 PMTFPS立体化学结构的表征
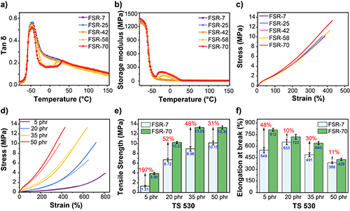
在此基础上,团队系统研究了等规结构占优势的PMTFPS 样品的晶体结构及非等温结晶动力学。结果标明,PMTFPS 的立体规整性显著影响晶面间距及晶体生长模式:随着规整性增加,晶面间距减小,晶体生长模式由一维针状结构和二维层状结构逐渐转变为三维球晶结构。此外,研究还探讨了了立体规整性对其弹性体力学性能的影响。高立体规整的 FSR-70 弹性体表现出显著的自增强效应:仅添加5份白炭黑补强后,其拉伸强度较 FSR-7 提升了 197%。本研究不仅系统揭示了 PMTFPS 立体化学规整性与结晶结构、热力学性能及力学性能的内在关联,更证实了调控非对称取代聚硅氧烷的立体化学构型是开发高性能硅橡胶弹性体的有效策略。

图2 PMTFPS弹性体的力学性能
相关研究工作以“Stereochemical Regulation of Poly(methyl(3,3,3-trifluoropropyl)siloxane) via Monomer Ratio: Tuning Crystallization Behavior and Mechanical Properties”为题发表在《Macromolecules》上,论文第一作者是山东大学材料科学与工程学院博士研究生师睿睿,通讯作者为山东大学材料科学与工程学院的王华副研究员和周传健教授。该研究得到了山东省自然科学基金联合基金和山东省重点研发计划的资助。
周传健教授课题组长期从事高性能有机硅材料的研究,课题组长期招收优秀博士后、博士研究生,欢迎从事特种有机硅弹性体合成、加工等领域的优秀青年加盟课题组。
【文章链接】https://pubs.acs.org/doi/10.1021/acs.macromol.5c01642
图文转载自【中国聚合物网】:http://www.polymer.cn/