嵌段共聚物胶束是一类重要的自组装纳米结构,广泛应用于药物递送系统、纳米材料制备和界面化学等领域。然而,由于其形成和动态演变过程复杂且难以实时捕捉,实现对胶束组装行为的精确控制与性能优化一直面临重大挑战。因此,发展能够实时、原位监测胶束形成与演变过程的表征技术,成为当前材料科学和化学研究中的一个关键课题。
近日,华南理工大学王林格教授团队在材料科学知名期刊《Small》上发表了一项重要研究成果。该团队采用时间分辨小角X射线散射(TR-SAXS)技术,成功实现了对聚(2-二甲基氨基乙基甲基丙烯酸酯)–聚(2-(二异丙基氨基)乙基甲基丙烯酸酯)(PDMA-b-PDPA)在极性溶剂中进行聚合诱导自组装(PISA)过程的实时监测。这一方法使得研究人员能够首次清晰追踪并揭示在该类反应中胶束从成核到生长的动态演变路径,为设计功能化胶束材料提供了关键机制理解与方法支撑。
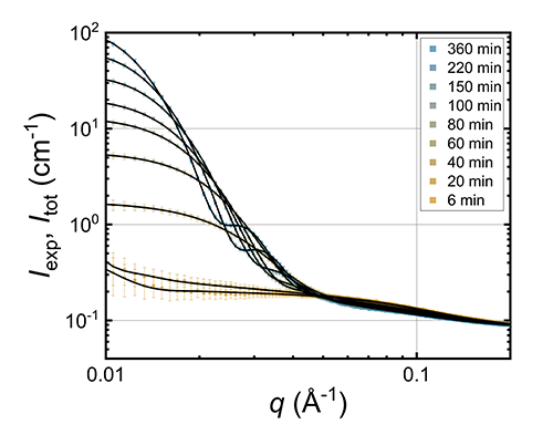
该研究首先对采用 PISA 方法制备的PDMA–PDPA两嵌段共聚物在混合极性溶剂中的形貌进行系统考察,发现动力学效应会导致结构多样性。为获得可控胶束体系,研究人员选择60/40 (w/w)的乙醇/水作为混合溶剂,使PDMA–PDPA稳定形成球形胶束。基于这一稳定结构,团队进一步结合TR-SAXS实验与定量模型(图1),获取了关于反应进程、颗粒尺寸演化及内部组分变化的关键信息(图2)

图1 使用TR-SAXS技术跟踪以PISA方式制备的PDMA–PDPA胶束成核与生长过程

图2 以TR-SAXS定量分析获得的PDMA–PDPA胶束成核与生长过程中成分转变与颗粒尺寸变化
基于 SAXS 的定量分析,该研究通过建立胶束尺寸与内疏水链段聚合度(DPco)之间的指数关系,揭示了 PISA 过程中两嵌段共聚物胶束核内的相态转变(图 3)。在成核阶段,只有少量链转移剂(macro-CTA)提供聚合位点,随即形成溶剂化的初始胶束核。随着聚合反应推进,溶剂逐渐排出并维持在核内一个相对稳定的比例,胶束尺寸在此阶段保持恒定。随后进入 ω1 阶段,胶束开始持续生长。由于反应在毛细管中进行,传质条件受限,使研究人员得以通过胶束聚集数观察到胶束融合及由此产生的链段拉伸效应(ω2与ω4阶段)。当融合作用减弱后,链段松弛导致相分离效应减弱(ω3与ω5阶段)。结合其他极性溶剂体系下 PDMA–PDPA 颗粒的静态SAXS数据可知,ω1、ω3与ω5阶段均可用于预测最终胶束尺寸,说明这些阶段代表较为稳定的相态,但其核内链段伸展程度有所差异,而这种差异源于初期成核与随后的融合状态。进一步,TR-SAXS 结果显示胶束内部几乎不含残余单体,这与此前在非极性溶剂体系中的研究(Angew. Chem. Int. Ed. 2024, 63, e202312119)显著不同。作者推测,这种单体耗竭与受限生长可能源于体系具有类乳液聚合特征,且单体扩散速率远低于聚合速率。

图3 PDMA–PDPA胶束成核与生长过程中核内的相态转变
这项研究首先使用TR-SAXS技术对在极性溶剂中进行的PISA过程进行跟踪与定量分析,揭示在PISA过程中胶束的成核与生长过程。不仅提供了一个普适的实验与建模框架,也为深入理解 PISA 机理和实现对自组装结构的精准调控奠定了基础,对高分子纳米材料的设计与应用具有重要推动作用。
该工作以“Time-Resolved Small-Angle X-Ray Studies of Spherical Micelle Formation and Growth During Polymerization-Induced Self-Assembly in Polar Solvents”为题发表在《Small》上(Small, 2025, e08262.)。
文章共同第一作者是华南理工大学硕士研究生梅芷晴(现新加坡国立大学博士研究生)、博士研究生张蕴婕和硕士研究生林潇蓝,本文通讯作者为华南理工大学博士后廖国行博士和华南理工大学王林格教授。该研究得到国家自然科学基金,广东省基础与应用基础研究基金,广州GJYC项目和中国博士后科学基金的支持。
原文链接:https://doi.org/10.1002/smll.202508262
图文转载自【中国聚合物网】:http://www.polymer.cn/